Die Wissensdatenbank mit Begriffen rund um's Thema Kunststoff
In diesem kostenfreien Onlinenachschlagewerk finden Sie zahlreiche Begriffserklärungen zum Werkstoff Kunststoff. Diese sind gerade auch für Quereinsteiger eine kleine Starthilfe in die umfangreiche Welt der Kunststoffverarbeitung.
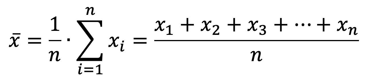
Der Mittelwert beschreibt den Durchschnittswert, also das arithmetische Mittel, einer Stichprobe. Er wird mit x̄ bezeichnet. Zur Berechnung des Mittelwertes werden die einzelnen Werte der Stichprobe aufsummiert und durch die Anzahl der Einzelwerte geteilt. Der Mittelwert stellt den Schwerpunkt der Einzelwerte dar.

x̄: Mittelwert | n: Anzahl der Einzelwerte | xi: Einzelwerte
In der Statistik beschreibt der Mittelwert den Wert, der am häufigsten auftritt. Unter der Annahme, dass die Stichprobe sehr groß ist und normalverteilt ist, spiegelt der Mittelwert das Maximum der Verteilungskurve wider. Im Vergleich zum Mittelwert ist der Median unempfindlicher gegenüber Extremwerten oder Ausreißern in den Daten.
Abbildung: Mittelwert einer normalverteilten Probe (Bild: SKZ)